苏州大学(Soochow University),坐落于历史文化名城苏州,是教育部与江苏省人民政府共建的国家“世界一流学科建设高校”,国家“211工程”、“2011计划”首批入选高校,国家国防科技工业局与江苏省人民政府共建高校,江苏省属重点综合性大学,入选国家“111计划”、卓越法律人才教育培养计划、卓越工程师教育培养计划、卓越医生教育培养计划、国家建设高水平大学公派研究生项目、国家大学生创新性实验计划。
苏州大学教育学院现有教育学一级学科博士后流动站、高等教育学博士点、教育经济学博士点(自设)、教育学一级学科硕士点、心理学一级学科硕士点、应用心理学专业硕士点、教育硕士专业硕士点和职业技术教育学专业硕士点。苏州大学教育科学研究院挂靠本院,下设苏州大学高等教育研究所、苏州大学教育科学研究中心 、教育学研究所、应用心理学研究所、课程教学研究所、规划与政策研究室、学习科学研究中心7个研究所(中心、室);苏州心理学会挂牌本院。
学院现有教职工77人。教师队伍年轻、学历高、专业结构合理。62名专任教师中,高级职称比例为77.4%,其中教授22名、副教授26名;博士生导师14名,硕士生导师40名。有博士学位和在读博士者54人,占专任教师总数的87.1%。教授平均年龄51岁,副教授平均年龄43岁,讲师平均年龄39岁。学院还聘有国内外著名教育学家、心理学家和教育管理专家顾明远、黄希庭、王一兵、彭凯平、金盛华、严文蕃、程星、罗跃嘉、方方、顾月华等教授为苏州大学客座教授或兼职教授。
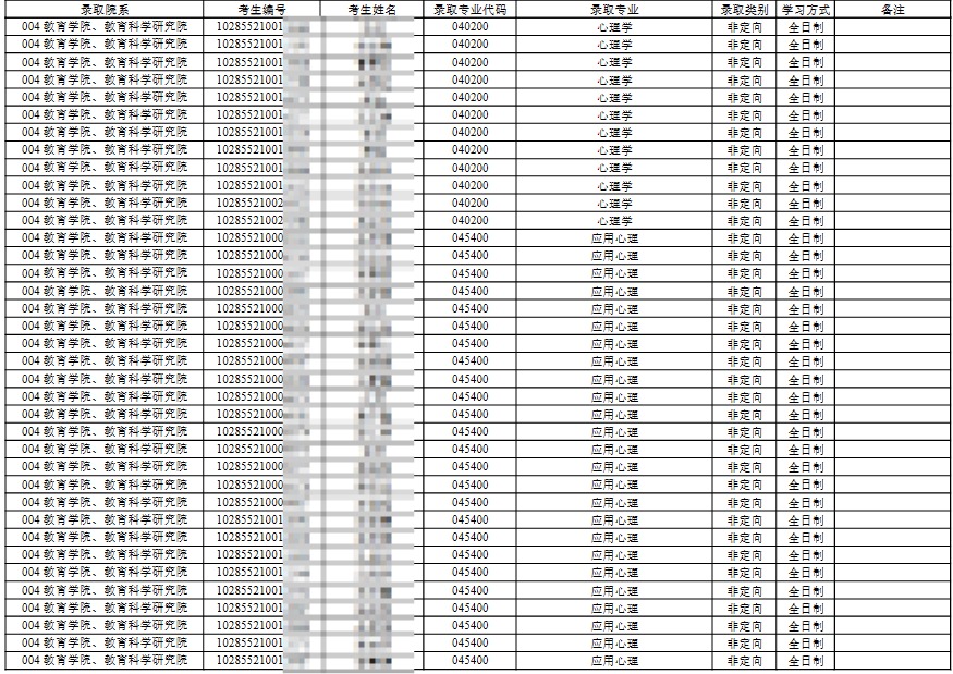
根据苏州大学研究生院发布的《苏州大学2025年硕士研究生统考拟录取名单公示》所公示,苏州大学教育学院应用心理专硕2025年实际招收49名(不含推免)全日制硕士研究生,心理学学硕2025年实际招收21名(不含推免)全日制硕士研究生。



心理学考研机构哪家强?在线辅导众学简快等你来call!心理学考研辅导班报考咨询可添加简小君QQ:2853793598,更多心理学考研学校招生简章、备考资讯,请关注“众学简快心理学考研”微信公众号!
想要了解更多内容请关注我们
众学简快:www.jkkaoyan.com
简快网校:www.jkclass.cn新浪微博、B站、公众号、小红书:@众学简快心理学考研