我的账户
众学简快

考研人帮考研人

亲爱的游客,欢迎!

已有账号,请

如尚未注册?

【九九心理学考研带练】今天写完了第88个题目,第七章完结撒花~ ... ...

2022-5-17 10:07
原作者: 简小君 来自: 九九心理学考研 收藏 邀请

心理学考研怎么学习?心理统计学的知识怎么背?心理学网课培训认准九九老师,众学简快的优秀教师,万千简快学员的心头爱,她将带领心理学考研学子做练习题!让我们一起进入九九老师的带练时间吧~ ... ... ... ...

心理学考研怎么学习?心理统计学的知识怎么背?心理学网课培训认准九九老师,众学简快的优秀教师,万千简快学员的心头爱,她将带领心理学考研学子做练习题!让我们一起进入九九老师的带练时间吧~

最近天天泡在录课室,做题目也太艰难啦!而且后面这几章的题目难度有变大,我会尽量多核对几遍,给你们更加完整的答案~

当然,下面的答案只为给同学们提供一个参考~是老师的一些思考,并非标准答案吼,有任何问题大家也可以去微博发布,然后@九九psy(留言有点多~佛系答疑哈哈哈~)

依旧期待你的反馈和坚持!

今天更新的是张厚粲《现代心理与教育统计学》第五版第七章——“参数估计”!题目比较多,上期答案戳这里:

【九九心理学考研带练】给大家更新第7章——“参数估计”答案

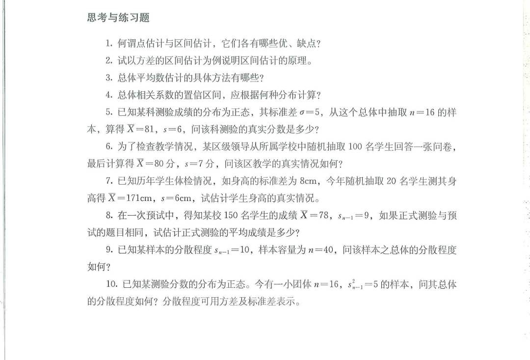
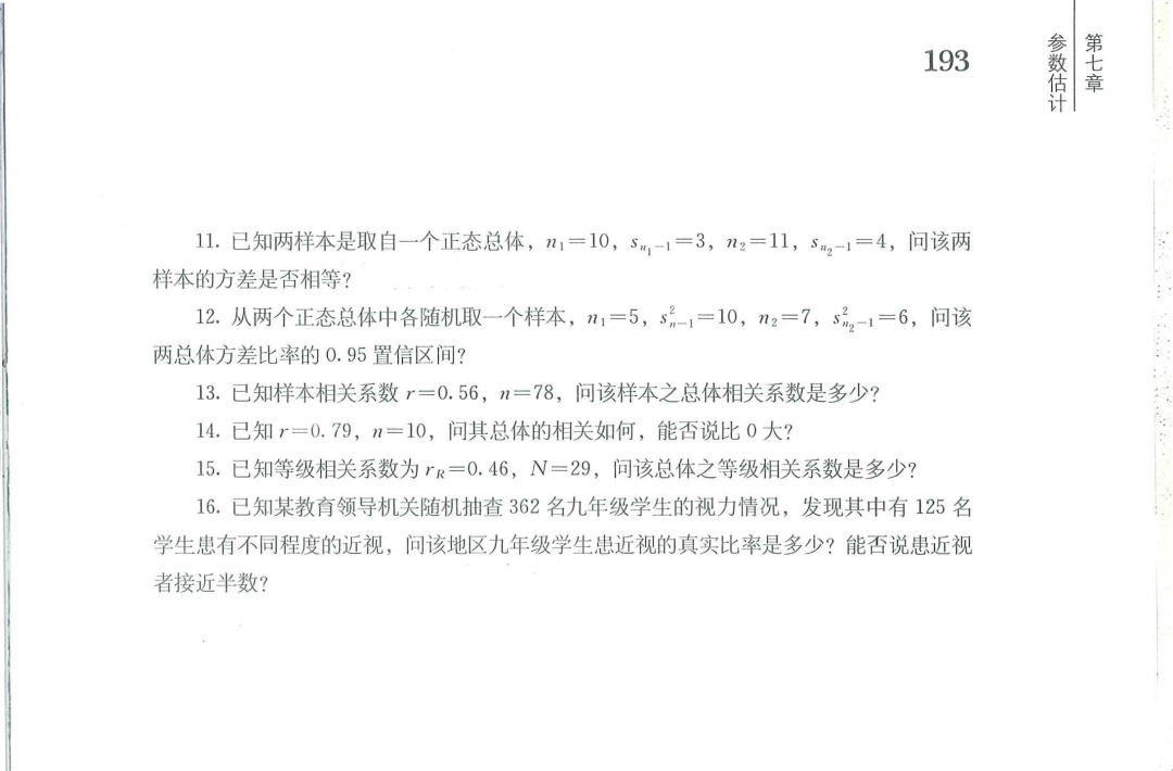
先来回顾一下书上的练习题吧~

图片
图片

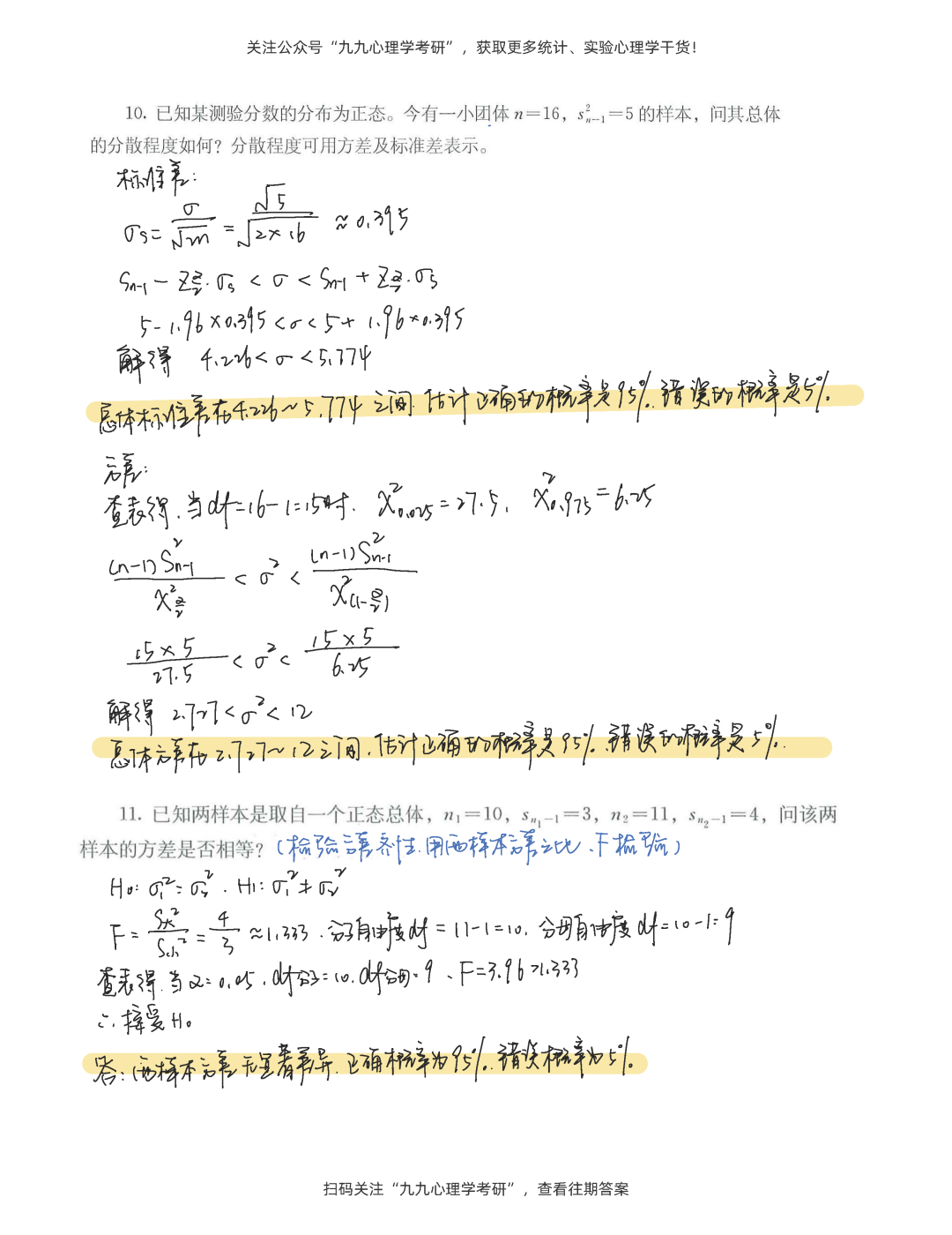
【参考答案】

点击图片保存,阅读更清晰

图片
图片
图片
图片

点个关注吧,下一期更新第八章——“假设检验”~

心理学考研培训班选哪家?关注九九就够啦!心理学考研辅导报考咨询可添加简小君QQ:2853793598,更多心理学考研备考资讯,请关注“简快心理考研”微信公众号!

在众学简快,考研人帮考研人...
粉丝1 阅读1086 回复0
推荐资讯
关注我们
简快陪你考上研究生

客服电话:0731-85013455

客服邮箱2853793598@qq.com

周一至周五 9:00-18:00

湖南省长沙市岳麓区洋湖公馆2期2栋7楼

众学简快 - 考研人帮考研人!( 湘ICP备16003581号-1 )

Powered by 众学简快 © 2001-2021 网站地图